Introduction
One of the major challenges in aquaculture is ensuring the sustainable expansion of the sector. In this context, several efforts have been directed toward investigating the application of Biofloc Technology (BFT) for a range of species. BFT is an example of sustainable aquaculture due to minimal water exchange and for enabling the recycling of nutrients, which are converted into bacterial protein (bioflocs). The rearing of omnivorous species in bioflocs has shown promising results, mainly due to the ability of these animals to take advantage of the biofloc as a complementary food source. Furthermore, research on Mugil cephalus , a native species of the Mediterranean and one of the promising candidates for aquaculture among omnivorous fish in this region, has also demonstrated that it can adapt well to biofloc. Thus, as BFT is a closed system, the introduction of functional additives in the water can be an interesting way to further enrich the system and, potentially, enhance the immune responses of the animals , for instance, through the addition of microalgae and probiotics. Therefore, the objective of the present study was to evaluate the effect of microalgae Chlorella and probiotic Bacillus addition on stress responses under oxygen and density challenge.
Material and Methods
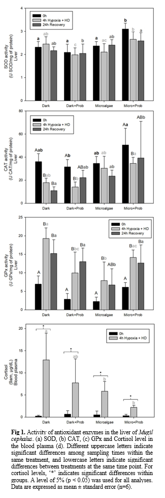
For the experiment, 180 animals with an initial weight of 91,7 ± 22,4 grams were d istributed in 12 circular tanks filled with 800 L of water at a salinity of 20 ( 10% of water was composed of a mature biofloc inoculum). The trial included 4 treatments in triplicate: microalgae addition (Microalgae), probiotics addition (Dark+Prob), microalgae and probiotics addition (Micro+Prob), and a control, just biofloc (Dark). The light restriction was used in Dark and Dark+Prob treatments to establish a heterotrophic system, while in the Microalgae and Micro+Prob treatments, a 12:12h photoperiod was used to maintain the microalgae and a mixotrophic system. The probiotic (Sanolife PRO-W Bacillus subtilis and B. licheniformis ) and the microalgae (Chlorella vulgaris ) were added to the corresponding treatments once a week, at 1g/m3 and 6L/tank at 1 A ( corresponding to 18 x 106 cells/ml), respectively . A commercial feed (DIBAQ - 3.5 mm) with 30% crude protein and 7% crude fat was provided three times daily at a 2 %/d feeding rate. The trial lasted 41 days. At the end of this period , t he animals were exposed to a 4-hour stress challenge, followed by 24 hours of recovery , when the parameters were restored to standard levels. For the stress challenge, the animals were kept in a condition of Hypoxia (dissolved oxygen 2mg/L) + High density (50 kg/m³). Before the stress, immediately after it, and at the end of the 24-hour recovery period, blood and liver samples were collected to analyze cortisol and enzymes of oxidative stress (n=2 animals per tank/time). Results were analyzed using a repeated measures ANOVA, considering the factors treatment and sampling time. Mauchly’s test of sphericity was applied, and significant differences were verified by applying Fisher’s LSD test at a 95% significance level (p < 0.05).
Results and discussion
At the end of the 41-day experimental period, the animals showed 100% survival in all treatments. Similarly, the stress challenge did not result in mortality. Regarding oxidative stress enzymes, the hypoxia and high-density challenge did not alter significantly the activity of the superoxide dismutase (SOD), although, among the groups, the Micro+Prob treatment was the one with the highest initial activity (0h). In contrast, the enzyme Catalase (CAT) was significantly reduced in all groups, except microalgae. After 24 hours of recovery, only the Dark group showed no restoration in CAT activity, which remained significantly lower than the Micro+Prob group. The stress condition increases glutathione peroxidase (GPx) activity in all groups. Only the Microalgae group demonstrated recovery of enzymatic activity to levels comparable to the basal condition (0h ). With respect to cortisol , the challenge led to a significant increase in this parameter in all groups. Although the addition of microalgae and probiotics had a protective effect compared to the control, there was a lower increase in cortisol.
There are few studies available on the inoculation of microalgae directly into biofloc and the associated oxidative stress response. On the other hand, many studies using C. vulgaris supplemented in fish diets report an improvement in the antioxidant capacity of the animals, mitigating the effects caused by oxidative stress. These findings agree with the results found in this study. One of the arguments behind the protective effect of C. vulgaris is related to pigments, such as carotenoids, which function against the reactive oxygen species generated under stressful conditions, performing a scavenging role. T he use of probiotics is well established in BFT, especially in marine shrimp farming. The gender Bacillus is one of the most used in aquaculture , improving immunity and health status. Considering our results, the combination of the probiotic with microalgae led to improvements in the analyzed parameters when compared to the probiotic-only group . This was evidenced by a more effective antioxidant enzyme activity and a reduced increase in cortisol levels . In conclusion, combining microalgae and probiotics into the BFT demonstrates significant potential and an effective strategy to improve animal health in response to stress conditions.
Acknowledgments
This work was supported by European Union Next Generation-Plan de Recuperación-Ministerio de Ciencia e Innovación-Gobierno de España (TED2021-129272B-C21), and Generalitat Valenciana (GVA AICO/2021/198) . J. Brol has a predoctoral grant from Generalitat Valenciana (Programa Santiago Grisolía 2021 ; CIGRIS/2021/109) and R. Olivares-Perona a technician contract from ThinkInAzul programme funded by the Spanish Ministry of Science and Innovation with European Union NextGenerationEU funds (GVA-THINKINAZUL/2021/006).
