Introduction
Due to the extended use of plastic and the associated environmental challenges, the European Union has introduced legislation to limit plastic production and waste accumulation. The European Parliament and Council (2024) support the use of eco-friendly packaging materials. By 2030, all plastic used in packaging must be fully recyclable. The use of biobased plastics from renewable resources aligns with these goals. Chitosan forms biodegradable, bioactive and biocompatible coatings. Its antimicrobial activity is attributed to cell membrane disruption, interactions with microbial gene expression, nutrient chelation, and the generation of reactive oxygen species (Khubiev et al. 2023). Global aquaculture reached 130.9 million tons in 2022 (FAO, 2023), but fish and seafood products are highly perishable due to their nutrient value, high moisture content, near-neutral pH, and high levels of unsaturated lipids and non-protein nitrogenous compounds (Kontominas et al. 2021). As a result, the selection of appropriate and environmentally friendly packaging materials is crucial to maintaining the quality of fish (Tsironi and Taoukis 2018). In the present study, active chitosan-based coating solutions were applied to fresh gilthead seabream fillets (Sparus aurata) to assess their potential for extending shelf life.
Materials and methods
Chitosan-based solutions was produced by dissolving 1% w/v chitosan in 0.5% v/v acetic acid aqueous solution at 35℃. A 0.2% v/v organic citrus extract (coded as flavomix) was added as an active compound. The solutions were applied as coating materials on fresh gilthead seabream (Sparus aurata) fillets by immersing the fillets in the solution for 15 min. The samples were then dried at 2℃ for at least 2 h. After drying, the samples were placed at sterilized Petri dishes and stored isothermally at 2℃. Three groups of samples were produced: uncoated samples (control), samples coated with 1% w/v chitosan (coating 1) and samples coated with 1% w/v chitosan enhanced with 0.2% w/v flavomix (coating 2). The three groups were subjected to shelf life evaluation by determining microbial growth, specifically Total Viable Count (TVC) and Pseudomonas spp. During the storage period, the optical appearance of the samples were evaluated using the CIELab system.
Results and Discussion
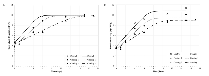
Figure 1 presents the growth curves of TVC and Pseudomonas spp. fitted to the Baranyi Growth Model. The curves did not exhibit a lag phase. The initial load for TVC was 4.37, with no statistically significant differences between the three tested groups. Similar values have been reported by Koutsoumanis et al. (2002) and Spanou et al. (2024) as the initial microbial load of Mediterranean species. Control samples exhibited the highest growth rates for TVC and Pseudomonas spp. (1.01±0.16 d-1 and 1.01±0.13 d-1, respectively). The growth rate of samples treated with coating 1 was 0.81±0.04 d-1 for TVC and 0.86±0.01 d-1 for Pseudomonas spp. Samples with coating 2 had a growth rate 0.44±0.02 d-1 for TVC and 0.60±0.02 d-1 for Pseudomonas spp. The maximum load of TVC ranged between 9.85-9.97 logCFU/g and 8.99-10.81 logCFU/g for Pseudomonas spp. According to Alexi et al. (2022) the limit of fish acceptability can be considered as 7 logCFU/g for TVC. Based on this limit, the shelf life of control samples was 2 days. The shelf life of samples treated with coating 1 was 4 days and the shelf life of samples treated with coating 2 was 6 days.
The results from the optical appearance assay were in agreement with the microbial tests. The lightness (L*) values of the control samples were statistically significantly lower than those of the samples treated with chitosan solutions during storage. Additionally, the control samples exhibited higher b* values at the end of the storage period, indicating that untreated samples shifted toward a yellow color more rapidly than those treated with chitosan-based coatings.
Conclusion
Chitosan based coatings are an effective packaging technique for extending shelf life and maintaining the quality of fresh fish fillets. Citrus extract can be successfully incorporated as an active compound in chitosan-based solutions, supporting sustainable food preservation practices.
References
Alexi N, Sfyra K, Basdeki E, et al (2022) Raw and Cooked Quality of Gilthead Seabream Fillets (Sparus aurata, L.) after Mild Processing via Osmotic Dehydration for Shelf Life Extension. Foods 11:2017. https://doi.org/10.3390/foods11142017
European Parliament and Council (2024) Regulation (EU) 2025/40 of the European Parliament and of the Council of 19 December 2024 on packaging and packaging waste, amending Regulation (EU) 2019/1020 and Directive (EU) 2019/904, and repealing Directive 94/62/EC
FAO (2023) Agricultural production statistics 2000–2022
Khubiev OM, Egorov AR, Kirichuk AA, et al (2023) Chitosan-Based Antibacterial Films for Biomedical and Food Applications. IJMS 24:10738. https://doi.org/10.3390/ijms241310738
Kontominas MG, Badeka AV, Kosma IS, Nathanailides CI (2021) Recent Developments in Seafood Packaging Technologies. Foods 10:940. https://doi.org/10.3390/foods10050940
Koutsoumanis K, Giannakourou MC, Taoukis PS, Nychas GJE (2002) Application of shelf life decision system (SLDS) to marine cultured fish quality. International Journal of Food Microbiology 73:375–382. https://doi.org/10.1016/S0168-1605(01)00659-6
Spanou A, Tzamarias AE, Ladakis D, et al (2024) In‐package cold atmospheric plasma processing for shelf‐life extension of gilthead seabream ( Sparus aurata ) fillets. Journal of Food Science 89:4714–4729. https://doi.org/10.1111/1750-3841.17179
Tsironi TN, Taoukis PS (2018) Current Practice and Innovations in Fish Packaging. Journal of Aquatic Food Product Technology 27:1024–1047. https://doi.org/10.1080/10498850.2018.1532479
